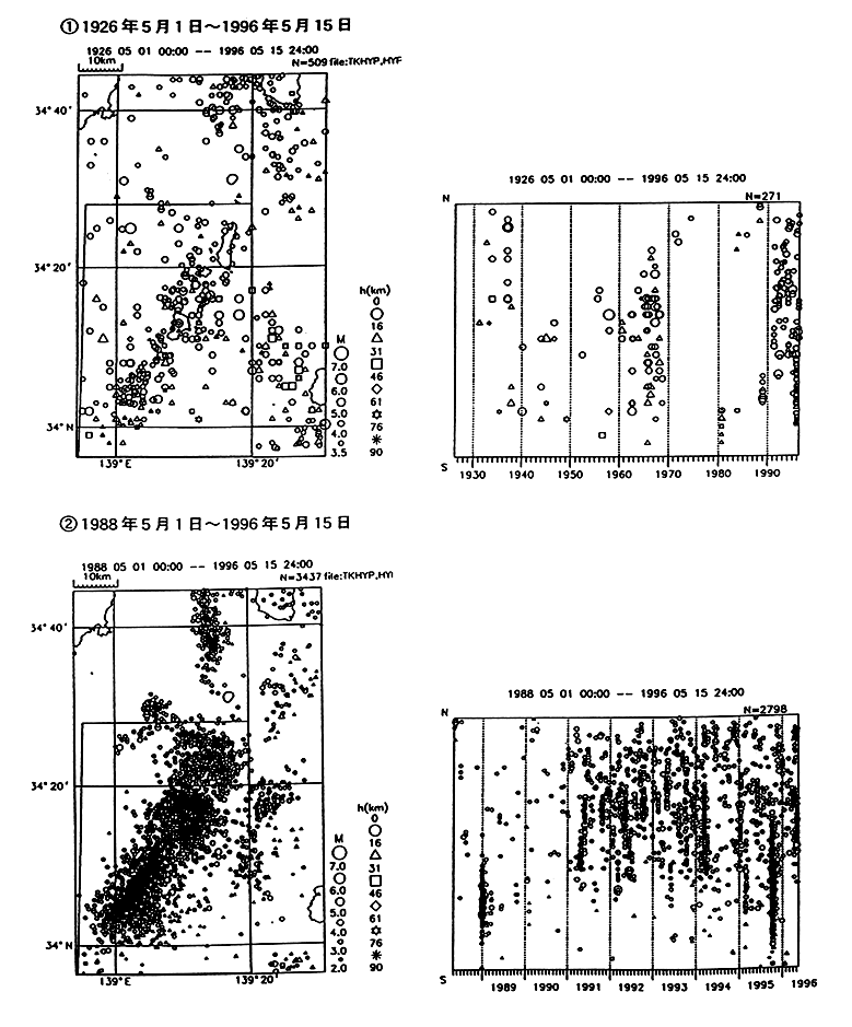
神津島・新島の地震活動付近の過去の地震活動


神津島・新島付近では1960年代に活発な地震活動があった後、20年間ほど比較的静かな状態が続いていたが、1980年代末から再び活発化した様子が見られる。


気象庁


1996年7月の地震活動について